色97在线I精品成人免费I麻豆视频入口I久久美女免费视频I免费av在I亚洲人在线7777777精品

首頁 >> 解決方案 >> 電子凈化解決方案

精密儀器測量潔凈車間實驗室裝修設計解決方案 CEIDI西遞

來源:上海西遞實業有限公司 發布時間:2019-12-31


近年來,國家大力發展科技,不斷加強基礎研發投入,科技水平已由跟跑向并跑轉變,我國精密儀器產業在不斷進步。一個產業的發展離不開安全的生產環境,精密儀器實驗室的設計裝修要求有哪些呢?CEIDI西遞有話說。


精密儀器測量潔凈車間實驗室建設要求達到空氣凈化、恒溫恒濕的基本要求。精密儀器室內配備了很多精密儀器,所以進行實驗室設計時要讓精密儀器室遠離灰塵、煙霧、噪音和震動源。隨著現代工業的發展,對實驗、研究和生產的環境要求越來越高,空氣調節技術的內容也隨之逐步擴大。現代空調技術不僅包含空氣的溫度、濕度和速度的概念,而且還包含了調節其潔凈度、壓力以至成分、氣味的概念,以適應現代化的科學實驗和生產活動對空氣潔凈度的要求。


 

一、精密儀器測量潔凈車間實驗室裝修設計的裝修規范

1. 精密儀器室的設計要做到8“,分別是防火、防震、防潮、防塵、防磁、防噪、防腐、防有害氣體。此外,室內溫度要控制在15~30℃,條件允許的話能控制在18~25℃,室內濕度要控制在60%~70%為宜。

2. 精密儀器室的地面以水磨石地面或防靜電地面為宜,不建議使用地毯,不僅易積灰,還易產生靜電。供電電壓要穩定,通常允許電壓有±10%的浮動。如有必要,可配備穩壓電源等附屬設備。此外,為了保證供電不間斷,必須采用雙電源供電,并配備專用地線,且接地極電阻小于

3. 由于氣相色譜室及原子吸收分析室要使用高壓鋼瓶,所以在實驗室設計時能設計在靠近鋼瓶室的位置。實驗臺與墻面要有0.5米的間距,以便操作與維修。此外,要在原子吸收儀器上方設局部排氣罩。

4. 如果儀器由微型計算機或微機控制,那么必須注意對供電電壓和頻率。為了避免電壓瞬變、瞬時停電、電壓不足等現象,可以根據需求選用不間斷電源(UPS)。

5. 進行精密儀器室設計的同時,也要做好相關配套化學處理室的設計工作,因為這在保護儀器和加強管理上是非常必要的。

 

二、精密儀器測量潔凈車間實驗室裝修設計的通風設計

潔凈室和一般空調房間不同,其送風量不是由系統的冷熱負荷來計算的,因為這樣計算的風量遠小于由凈化要求按換氣次數或房間截面風速計算得到的風量,因此,對凈化空調系統,一般先按凈化要求的換氣次數或截面風速來計算送風量而不管其冷熱負荷如何。

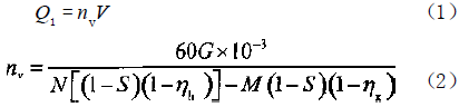
1. 亂流潔凈室送風量

亂流潔凈室送風量的理論計算(其中nv—潔凈室換氣次數,次/hV—潔凈室凈體積,m3G—單位容積發塵量,粒/m3.min);N—亂流潔凈室穩定含塵濃度,粒/LS—回風量與送風量之比;ηh—回風通路上過濾器的總效率;ηx—新風通路上過濾器的總效率)如下:

精密儀器潔凈車間

關于精密儀器測量潔凈車間實驗室裝修設計的通風設計,CEIDI西遞凈化的建議換氣次數為:1 000nv5010 000nv25100 000nv15

 2. 單向流潔凈室送風量

單向流潔凈室送風量以房間截面平均風速為準來計算:Q2=3600u F3)。其中F—垂直于氣流的房間截面積,m2;υ—截面平均風速,m/s

3. 系統新風量

《潔凈廠房設計規范》GB50073-2001中規定:潔凈室內的新鮮空氣量應取下列二項中的最大值:補償室內排風量和保持室內正壓所需的新鮮空氣量之和;保證供給潔凈室內的新鮮空氣量應不小于40m3/h.人)。



三、CEIDI西遞精密儀器測量潔凈車間實驗室建設案例

CEIDI西遞,專業提供千級至三十萬級標準潔凈工程的設計、施工安裝一站式服務,以高質量的工程建設和服務品質,承建了國內數百家企業的凈化室車間、無塵廠房、潔凈實驗室工程。擁有國家設計與施工二級資質、凈化工程設計與施工一級資質環保一級資質、機電安裝三級資質、鋼結構三級資質、環保三級資質。西遞過往精密儀器測量潔凈車間實驗室建設案例如——寧波德朗能電池潔凈車間裝修工程

 

201935日,CEIDI西遞與寧波德朗能鋰電池科技有限公司合作建設的寧波德朗能鋰電池潔凈車間裝修工程正式開工。德朗能于200110月在上海奉賢區成立,并先后于上海、深圳、張家港、寧波、天津設立生產基地和銷售中心。產業以電芯制造為主,并逐步向中下游系統集成業務延伸,現已經成為國內知名綠色能源解決方案供應商,產業涵蓋動力鋰離子電池、電池控制系統、民用電池及相關產品的研發、設計、生產、銷售及服務。注:案例圖片僅供西遞內部使用,禁止盜圖。


精密儀器潔凈車間 CEIDI西遞


精密儀器潔凈車間 CEIDI西遞


精密儀器潔凈車間 CEIDI西遞


精密儀器潔凈車間 CEIDI西遞


精密儀器潔凈車間 CEIDI西遞


相關文章推薦:

1. LED貼片光電無塵車間設計與施工:參數設置及裝修要點

2. 精密航空凈化廠房設計裝修:航空潔凈無塵室設計要求

3. 線路板無塵車間裝修設計標準:潔凈無塵室及其他系統設置

CEIDI精密制造凈化廠房裝修案例展示:

1. 上海比亞迪凈化車間裝修工程

2. 上海物質學院機械加工中心凈化裝修改造工程

相關案例推薦

南通瑞翔新材鋰離子電池正極材料實驗室

【項目地點】:江蘇 南通

【項目面積】:0㎡

【項目成果】:南通瑞翔新材料有限公司(以下簡稱:瑞翔新材)是專業從事新能源材料研發、制造、銷售的高新技術企業,注冊資本4.678億元,聚焦于鋰離子電池正極材料的研發與生產,是知名的專業正極材料供應商,也是世界500強企業甘肅金川集團下屬控股公司。公司主要產品為三元材料、錳酸鋰、磷酸鐵鋰、磷酸錳鐵鋰及鈉電等正極材料,廣泛應用于動力電池、儲能電池、消費電池三大領域。瑞翔新材構建了多元化產品矩陣,在高功率、高電壓動力電池正極材料制造方面建立了優勢,是國際知名主流車企供貨商之一。

上海澤普林固體物料技術潔凈實驗室

【項目地點】:上海嘉定

【項目面積】:0㎡

【項目成果】:CEIDI西遞與澤普林固體物料技術(上海)有限公司(以下簡稱“澤普林”),達成固體物料技術潔凈實驗室整體解決方案(設計+工程)項目的深度合作,助力澤普林打造行業標桿潔凈實驗室。基于首期項目的愉快合作,雙方的二期工程也已步入合作階段。

中國科學院上海硅酸鹽研究所實驗中心

【項目地點】:上海長寧

【項目面積】:0㎡

【項目成果】:西遞公司是上海的一家高新技術企業,擁有設計乙級資質、施工建筑總承包二級資質、裝飾裝修二級資質、機電安裝二級資質、環保及鋼結構二級資質、防水防腐保溫工程二級資質,CEIDI西遞專業水平贏得客戶好評,歡迎咨詢:400-666-1693

山西凱賽合成生物產業園項目

【項目地點】:山西太原

【項目面積】:0㎡

【項目成果】:CEIDI西遞實業作為該項目中生物基新材料研發綜合實驗樓的工程單位之一,為其實驗室研發成果技術優先在園區內實現成果轉化提供了強有力的保障。我們依據實驗樓的材料分析、HPLC、公共檢測等多個實驗平臺的相關環境要求,為其配置所需實驗設施,包括適配于每個平臺的化學實驗室、生物實驗室、物理實驗室等等。

天祥安氫(上海)研發測試基地綜合實驗室項目

【項目地點】:上海 閔行

【項目面積】:0㎡

【項目成果】:該項目由CEIDI西遞進行全方位設計服務(平面圖、效果圖、暖通、機電、工藝管道等全方位深化設計)。該項目是集研發、測試及生產為一體的綜合實驗項目,以自研高效氨氫轉化催化劑與模塊化分散式小型合成氨裝置為核心技術,以匹配公司小試、中試和放大生產需求為建設目的。

申啟生物IVD生物檢測實驗/潔凈室項目

【項目地點】:上海市普陀區

【項目面積】:0㎡

【項目成果】:申啟生物IVD生物檢測實驗/潔凈室工程由CEIDI西遞公司提供EPC總包服務。西遞公司是上海的一家高新技術企業,擁有設計乙級資質、施工建筑總承包二級資質、裝飾裝修二級資質、機電安裝二級資質、環保及鋼結構二級資質、防水防腐保溫工程二級資質,CEIDI西遞專業水平贏得客戶好評,歡迎咨詢:400-666-1693

南通瑞翔新材鋰離子電池正極材料實驗室

【項目地點】:江蘇 南通

【項目面積】:0㎡

【項目成果】:南通瑞翔新材料有限公司(以下簡稱:瑞翔新材)是專業從事新能源材料研發、制造、銷售的高新技術企業,注冊資本4.678億元,聚焦于鋰離子電池正極材料的研發與生產,是知名的專業正極材料供應商,也是世界500強企業甘肅金川集團下屬控股公司。公司主要產品為三元材料、錳酸鋰、磷酸鐵鋰、磷酸錳鐵鋰及鈉電等正極材料,廣泛應用于動力電池、儲能電池、消費電池三大領域。瑞翔新材構建了多元化產品矩陣,在高功率、高電壓動力電池正極材料制造方面建立了優勢,是國際知名主流車企供貨商之一。

上海澤普林固體物料技術潔凈實驗室

【項目地點】:上海嘉定

【項目面積】:0㎡

【項目成果】:CEIDI西遞與澤普林固體物料技術(上海)有限公司(以下簡稱“澤普林”),達成固體物料技術潔凈實驗室整體解決方案(設計+工程)項目的深度合作,助力澤普林打造行業標桿潔凈實驗室。基于首期項目的愉快合作,雙方的二期工程也已步入合作階段。

中國科學院上海硅酸鹽研究所實驗中心

【項目地點】:上海長寧

【項目面積】:0㎡

【項目成果】:西遞公司是上海的一家高新技術企業,擁有設計乙級資質、施工建筑總承包二級資質、裝飾裝修二級資質、機電安裝二級資質、環保及鋼結構二級資質、防水防腐保溫工程二級資質,CEIDI西遞專業水平贏得客戶好評,歡迎咨詢:400-666-1693

山西凱賽合成生物產業園項目

【項目地點】:山西太原

【項目面積】:0㎡

【項目成果】:CEIDI西遞實業作為該項目中生物基新材料研發綜合實驗樓的工程單位之一,為其實驗室研發成果技術優先在園區內實現成果轉化提供了強有力的保障。我們依據實驗樓的材料分析、HPLC、公共檢測等多個實驗平臺的相關環境要求,為其配置所需實驗設施,包括適配于每個平臺的化學實驗室、生物實驗室、物理實驗室等等。

天祥安氫(上海)研發測試基地綜合實驗室項目

【項目地點】:上海 閔行

【項目面積】:0㎡

【項目成果】:該項目由CEIDI西遞進行全方位設計服務(平面圖、效果圖、暖通、機電、工藝管道等全方位深化設計)。該項目是集研發、測試及生產為一體的綜合實驗項目,以自研高效氨氫轉化催化劑與模塊化分散式小型合成氨裝置為核心技術,以匹配公司小試、中試和放大生產需求為建設目的。

申啟生物IVD生物檢測實驗/潔凈室項目

【項目地點】:上海市普陀區

【項目面積】:0㎡

【項目成果】:申啟生物IVD生物檢測實驗/潔凈室工程由CEIDI西遞公司提供EPC總包服務。西遞公司是上海的一家高新技術企業,擁有設計乙級資質、施工建筑總承包二級資質、裝飾裝修二級資質、機電安裝二級資質、環保及鋼結構二級資質、防水防腐保溫工程二級資質,CEIDI西遞專業水平贏得客戶好評,歡迎咨詢:400-666-1693

南通瑞翔新材鋰離子電池正極材料實驗室

【項目地點】:江蘇 南通

【項目面積】:0㎡

【項目成果】:南通瑞翔新材料有限公司(以下簡稱:瑞翔新材)是專業從事新能源材料研發、制造、銷售的高新技術企業,注冊資本4.678億元,聚焦于鋰離子電池正極材料的研發與生產,是知名的專業正極材料供應商,也是世界500強企業甘肅金川集團下屬控股公司。公司主要產品為三元材料、錳酸鋰、磷酸鐵鋰、磷酸錳鐵鋰及鈉電等正極材料,廣泛應用于動力電池、儲能電池、消費電池三大領域。瑞翔新材構建了多元化產品矩陣,在高功率、高電壓動力電池正極材料制造方面建立了優勢,是國際知名主流車企供貨商之一。

上海澤普林固體物料技術潔凈實驗室

【項目地點】:上海嘉定

【項目面積】:0㎡

【項目成果】:CEIDI西遞與澤普林固體物料技術(上海)有限公司(以下簡稱“澤普林”),達成固體物料技術潔凈實驗室整體解決方案(設計+工程)項目的深度合作,助力澤普林打造行業標桿潔凈實驗室。基于首期項目的愉快合作,雙方的二期工程也已步入合作階段。

中國科學院上海硅酸鹽研究所實驗中心

【項目地點】:上海長寧

【項目面積】:0㎡

【項目成果】:西遞公司是上海的一家高新技術企業,擁有設計乙級資質、施工建筑總承包二級資質、裝飾裝修二級資質、機電安裝二級資質、環保及鋼結構二級資質、防水防腐保溫工程二級資質,CEIDI西遞專業水平贏得客戶好評,歡迎咨詢:400-666-1693

山西凱賽合成生物產業園項目

【項目地點】:山西太原

【項目面積】:0㎡

【項目成果】:CEIDI西遞實業作為該項目中生物基新材料研發綜合實驗樓的工程單位之一,為其實驗室研發成果技術優先在園區內實現成果轉化提供了強有力的保障。我們依據實驗樓的材料分析、HPLC、公共檢測等多個實驗平臺的相關環境要求,為其配置所需實驗設施,包括適配于每個平臺的化學實驗室、生物實驗室、物理實驗室等等。

天祥安氫(上海)研發測試基地綜合實驗室項目

【項目地點】:上海 閔行

【項目面積】:0㎡

【項目成果】:該項目由CEIDI西遞進行全方位設計服務(平面圖、效果圖、暖通、機電、工藝管道等全方位深化設計)。該項目是集研發、測試及生產為一體的綜合實驗項目,以自研高效氨氫轉化催化劑與模塊化分散式小型合成氨裝置為核心技術,以匹配公司小試、中試和放大生產需求為建設目的。

申啟生物IVD生物檢測實驗/潔凈室項目

【項目地點】:上海市普陀區

【項目面積】:0㎡

【項目成果】:申啟生物IVD生物檢測實驗/潔凈室工程由CEIDI西遞公司提供EPC總包服務。西遞公司是上海的一家高新技術企業,擁有設計乙級資質、施工建筑總承包二級資質、裝飾裝修二級資質、機電安裝二級資質、環保及鋼結構二級資質、防水防腐保溫工程二級資質,CEIDI西遞專業水平贏得客戶好評,歡迎咨詢:400-666-1693

TOP

400-666-1693

180 1646 0418